Dol Said Pahlawan Naning
Peristiwa Penentangan Dol Said
Faktor Penentangan Dol Said Di Naning
Slaid Sejarah Tingkatan 5 Bab 2
Ppt Perjuangan Mengembalikan Kedaulatan Kedah Powerpoint Presentation Id 1054578
Perjuangan Pemimpin Tempatan Menentang British Ppt Download
Perjuangan Rakyat Tempatan Mengembalikan Kedaulatan Bangsa Ppt Download
Bab 3
Nasionalisme Di Malaysia Sehingga Perang Dunia Kedua Ppt Download
Ppt Perjuangan Mengembalikan Kedaulatan Kedah Powerpoint Presentation Id 1230166
Sebab Sebab Penentangan Ppt Download
Dol Said
Sejarah T2 B7
Bab 7 Perjuangan Rakyat Tempatan Mengembalikan Kedaulatan Bangsa Docx Document
Perjuangan Mendaulatkan Kedah
Awal
Peristiwa Perang Hari Ini Dalam Sejarah
Perjuangan Mengembalikan Kedaulatan Kedah Ppt Download
Biodata Dol Said
Mcky1224 S Blog Education Is The Gift That None Can Take Away Page 8
Amalan Gugur Bermaruah Toc Doc
Peta Minda T5bab2
Sejarah Tingkatan 2 7 2 Dol Said Pahlawan Naning
Perjuangan Mengembalikan Kedaulatan Kedah Sebab Sebab Kebangkitan Rakyat Kedah Kronologi Penentangan Kesan Penentangan
Https Encrypted Tbn0 Gstatic Com Images Q Tbn 3aand9gctstni4zcq7zwalskdiwph0kgmqzrpf0sem7uumsuwg4 Q D9xc Usqp Cau
Ch7f3
Modul Lengkap K3 2015 Docx Document
Sejarah Tingkatan 3 Bab 7 Penentangan Masyarakat Tempatan
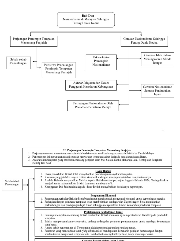
Bab 2 Pdf
Doc Sumbangan Haji Abdul Rahman Limbong Dalam Kebangkitan Terengganu Amirah Hamzah Docx Amirah Hamzah Academia Edu