Destinasi Pelancongan Contoh Karangan Spm Spesial 2017 Paling Ramai
Penulisan Bahagian B
Karangan Kumpulan B
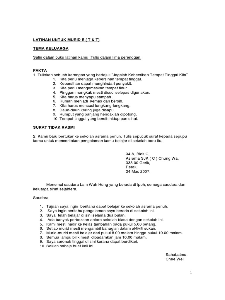
Bahasa Melayu Isi Isi Ringkas Karangan Upsr Doc 60 Contoh Karangan Menggunakan 10 Ayat Mudah Tema Keluarga 1 Tuliskan Sebuah Karangan Yang Bertajuk Course Hero
Contoh Karangan Keperihalan Gambaran Cute766
Contoh Surat Kiriman Tidak Rasmi
Tips Menulis Karangan Jenis Keperihalan Gambaran
Faedah Melancong
Doc Karangan Muizazizi Muizazizi Academia Edu
41 Tempat Menarik Di Cameron Highland 2020 Percutian Dingin Nyaman
60 Contoh Karangan 10 Ayat 1 Docx
105924135 60 Contoh Karangan 10 Ayat Pdf
60 Contoh Karangan Menggunakan 10 Ayat Mudah Tema Keluarga
Majalah Ilmu Hi Guys Ni Cara2 Nk Tulis Karangan Yg Facebook
Contoh Contoh Karangan Sekolah Rendah Catatan Bercuti Di Pulau Langkawi
Contoh Karangan Doc
Ini Dia Percutian Cameron Highland 2017 Spesial 2017 Untuk Family
Contoh Karangan Upsr Bahasa Inggeris Mudah Akif Imtiyaz
Contoh Karangan Lawatan Dan Percutian
Doc Contoh Karangan 1 Bagaimana Menjadi Seorang Pengguna Yang Bestari Demi Mengatasi Masalah Ekonomi Negara Fatin Ngahh Academia Edu
Karangan Kumpulan E
Surat Tidak Rasmi Kepada Ibu Bapa Rasmi B
Contoh Karangan Pengalaman Pt3 Semasa Cuti Sekolah
Contoh Karangan Laporan Lawatan Ke Cameron Highland Contoh Qi Cute766