Jarak Bumi Ke Matahari 1 5 X 10 Pangkat 11 M Jarak Bulan Ke Bumi 3 84 X 10 Pangkat 8 M Periode Brainly Co Id
Periode Revolusi Bumi Mengelilingi Matahari Adalah 1 Tahun Dan Jarak Bumi Terhadap Matahari Adalah Brainly Co Id
Diketahui Jarak Antara Bumi Dan Matahari 1 5 Kali 10 Pangkat 8 Km Dan Kecepatan Cahaya Merambat Brainly Co Id
Jarak Bumi Ke Matahari Adalah 1 50 10 11 M Dan Kelajuan Cahaya Sebesar 3 00 10 8m S Jika Waktu Brainly Co Id
Periode Sebuah Planet A Mengelilingi Matahari Adalah 66 Hari Sedangkan Periode Planet B Brainly Co Id
Periode Planet Mars Mengelilingi Matahari Adalah 1 88 Tahun Jika Diketahui Periode Bumi 1 Tahun Brainly Co Id
Kepler Docx
Waktu Yg Diperlukan Oleh Bumi Untuk Mengitari Matahari Adalah 1 Tahun Dan Jarak Rata Rata Bumi Brainly Co Id
Jarak Bumi Ke Matahari Adalah 1 Koma 50 Kali 10 Pangkat 11 M Dan Kelajuan Cahaya Sebesar 3 00 Kali Brainly Co Id
85154197 Solusi Osp Astronomi 2009
Diketahui Massa Bulan 7 35 X 1022 Kg Massa Bumi 5 98 X 1024 Kg Dan Massa Matahari Adalah 1 99 X Brainly Co Id
Materi Ajar 3 Besaran Di Astrofisika
Planet Jupiter Memiliki Orbit Ke Matahari Yang Diperkirakan Sama Dengan 4 Kali Jarak Orbit Bumi Ke Brainly Co Id
Rumus Kepler
Bagian 1
Pada Suatu Saat Posisi Bulan Bumi Matahari Membentuk Segitiga Siku Siku Jarak Bumi Bulan 3 8 Brainly Co Id
Fotometri Bintang Oleh Departemen Astronomi Fmipa Itb Ppt Download
Andri Bermassa 50 Kg Berada Dibumi Jika Massa Bulan 7 4 X 10 22 Kg Massa Matahari 2 0 X 10 30 Brainly Co Id
Astronomi Fisika Bab Iii
Matahari Memiliki Massa Sebesar Mb 2 10 30 Kg Dan Jarak Orbit Bumi Adalah 1 5 10 11 M Jika G Brainly Co Id
Besaran Hukum Mendasar Dalam Astronomi Ppt Download
Bumi Menerima Energi Matahari 1400 W M 2 Jarak Bumi Matahari 1 5 X 10 11 Maka Daya Yang Brainly Co Id
Berapa Jarak 1 Tahun Cahaya Bisa Dihitung Dalam Satuan Kilometer
Akibat Kecepatan Dahsyad Ppt Download
Http Aplikasi Smazapo Sch Id Katalog Pdf 400972 Pdf
Waktu Yang Diperlukan Bumi Untuk Mengelilingi Matahari Jika Massa Matahari 2 01 10 30 Kg Dan Jarak Brainly Co Id
Definisi Ulang 1 Satuan Astronomi Langitselatan
Bumi Wikipedia Bahasa Indonesia Ensiklopedia Bebas
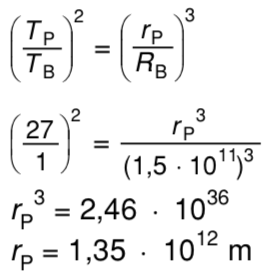
Sebuah Planet Yang Memiliki Periode Revolusi 27 Tahun Akan Memiliki Jarak Rata Rata Mas Dayat